发布时间:2023-02-13 发布人:
伤害是一个严重的公共卫生问题,据世界卫生组织估计,全球每年有440万人死于伤害,占总死亡人数的近8.0%。虽然随着经济的快速发展,中国在过去三十年的伤害死亡率和伤残调整生命年均呈下降趋势,但伤害仍是第五大死亡原因,2017年占总死亡人数的7.0%。在全球气候变化的背景下,环境温度和健康之间的关联受到了越来越多的关注。然而,当前的研究主要聚焦在气候变化对慢性病如心脑血管疾病和呼吸系统疾病的影响等,而气候变化对伤害的风险尚不明确,尤其是在承受着伤害和气候变化双重负担较重的发展中国家。因此,开展研究揭示气候变化对伤害的健康风险是十分必要的。
2023年1月3日,御宅屋 、广东省公共卫生研究院、广东省疾病预防控制中心、湖南省疾病预防控制中心、云南省疾病预防控制中心、浙江省疾病预防控制中心、吉林省疾病预防控制中心、西藏自治区疾病预防控制中心、中国科学院地理科学与资源研究所和中山大学等单位合作,在Nature Communications发表了题为“Temperature-related mortality in China from specific injury”论著。该研究纳入了2013-2019年中国6个省份的近61万伤害死亡个案,采用病例交叉设计和配对logistics回归模型,评估了环境气温对不同伤害类型死亡的影响,并评估了未来气候变化的伤害死亡风险。

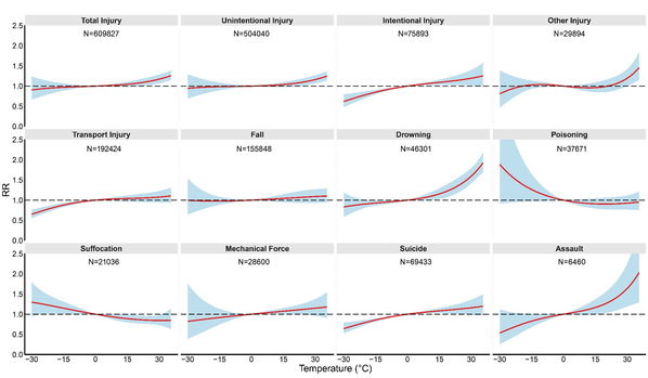
结果显示,日平均气温每升高1℃,伤害总体死亡风险增加0.50%(95%可信区间(CI): 0.13% ~ 0.88%),其中故意伤害风险(1.13%,0.55% ~ 1.71%)高于非故意伤害风险(0.40%,0.04% ~ 0.77%)。在非故意伤害中,溺水、交通伤害和机械伤害死亡风险与气温的关联最强;在故意伤害中,暴力伤害比自伤与气温的关联更强。

图1 环境气温与伤害死亡的暴露-反应曲线

图2 环境气温每升高1℃的伤害死亡超额风险(%)
为评估未来气候变化潜在的伤害死亡风险,团队进一步量化了未来环境气温改变导致的伤害死亡负担的变化。总体上,与2010年代相比,在RCP4.5情景下,中国因气温变化导致的伤害死亡总数将从2060年代的61348例(4.41/100000)增加到2090年代的67895例(4.88/100000),而在RCP8.5情景下,将从2060年代的91480例(6.58/10万)增加到2090年代的156586例(11.26/10万)。在人群分布上,男性和15-69岁人群可能会因气候变化引起的温度上升而遭受更多的伤害死亡负担。在地区分布上,中国各省与气温相关的伤害死亡在2060年代至2090年代均呈上升趋势,尤其是西部和中部地区。

图3 不同RCP情景下,环境温度引起的伤害死亡数变化人群分布
图4 不同RCP情景下,环境温度引起的伤害死亡数变化空间分布
总的来说,研究发现环境气温升高与伤害死亡风险增加相关,未来气候变化驱动的气温升高可能导致中国伤害死亡负担增加,特别是交通伤害、溺水和自杀。本研究为全球气候变暖对伤害死亡风险的影响提供了证据,为气候变化应对策略的制定以及在全球变暖背景下建立与气温相关的伤害风险预警系统提供科学依据。
该论文的第一作者是胡建雄(广东省公共卫生研究院)、何冠豪(御宅屋 )、孟瑞琳(广东省疾病预防控制中心),通讯作者为马文军教授(御宅屋 )。